Lowndes Area Knowledge Exchange (LAKE)

[prev][index][next] [index to photographs]

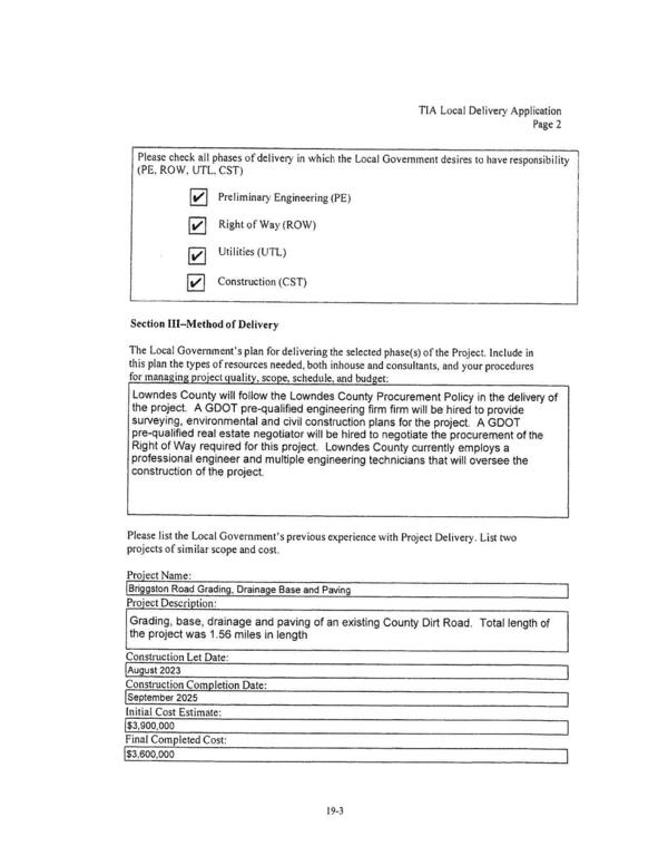
Section [1I-Method of Delivery

Transportation Investment Act (TIA) - Val Del Road Widening Local Agreement
Packet: 3 presentations, Appointment Board of Health, correct Tax Assessor, Qualifying Fees, grants, road widening and paving, Lakes Blvd Water Meter Relocation @ LCC
12 January 2026

 
Section [1I-Method of Delivery
bigger PDF